
Mi az a binominális eloszlás? Érthetően, példákkal

Hogyan értsd meg a binominális eloszlást úgy, hogy ne tegye tönkre az életed? Az alábbiakban 10 perc alatt elmagyarázom Neked a binominális eloszlást úgy, hogy örökre megértsd!
ALAPOK✨
👉 Akkor van binominális eloszlás, ha az alábbi 4 feltétel teljesül.
1️⃣ Sokszor ismétlünk ugyanazt (pl. 4 gyerek születik, 10 kapcsolót nézünk)
2️⃣ "Minden alkalommal csak két kimenetel van
3️⃣ "A valószínűség mindig ugyanakkora"
4️⃣ "Függetlenek az események
🧠 Na, akkor ezt a 4 feltételt fordítsuk emberi nyelvre! Vegyünk egy példát: ha pl. van egy zacskód, amiben piros és kék kockák vannak
1️⃣ "Sokszor ismétlünk ugyanazt". Ez azt jelenti, hogy ugyanazt csináljuk újra meg újra. pl. 4-szer húztunk a zacskóból.👉 A "próba" = egy alkalom, amikor történik valami (esetünkben egy húzás)
2️⃣ "Minden alkalommal csak két kimenetel van": vagy pirosat húzol, vagy kéket. Nincs zöld. Nincs "majdnem piros". 👉 CSAK KETTŐ verzió van. Pont.
3️⃣ "A valószínűség mindig ugyanakkora", pl. minden gyereknél ugyanakkora az esély fiúra; minden kapcsolónál ugyanakkora az esély hibára; ugyanakkora esélyed van pirosat, vagy kéket húzni.❌ Nem változik attól, hogy előtte mi történt. ❌ nincs olyan, hoy "Az első három fiú volt, akkor a negyedik biztos lány!"❌ NEM. 👉 Mindegyik húzás magasról tesz rá, hogy mi volt előtte.
4️⃣ "Függetlenek az események" Ez csak egy fancy szó arra, hogy: Nem beszélgetnek egymással. Az 1. gyerek nem szól a 2.-nak. Az 5. kapcsoló nem tudja, hogy a 3. hibás volt. Mindenki külön "életet" él.
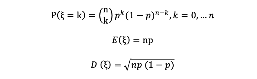
🧠 Képlet fordítása emberi nyelvre

A "fordításhoz" vegyünk egy példát. Az alábbi példában egy anyuka 2 kislány gyermeket szeretne, és összesen 3 gyermeket vállal (tehát a "szülések száma" 3).

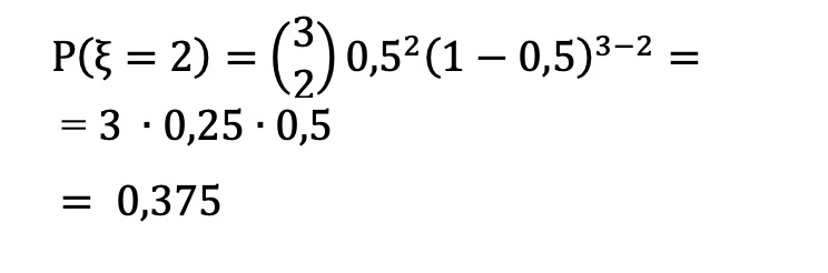
Behelyettesítve így néz ki. n=3, az anyuka 3 alkalommal szül. A "p" 0,5; ugyanis kétféle eredmény lehet, vagy fiú, vagy lány. Azaz, ahogy a hétköznapokban mondanánk, "50-50".

Tehát az esélyünk lány gyermekre: 37,5%. És ✨ennyi! ✨
